混凝土的弹性模量为:14-39E/Gpa。
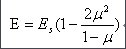
混凝土弹性模量的计算公式:

在混凝土应力-应变曲线自原点O做一切线其倾角的正切值为混凝土的弹摸,相应的经验公式是由混凝土的设计强度来确定的,因此单独讨论混凝土的弹模无太大意义。
弹性模量与材料缠绕形状有一定关系,比如将一根弹模已知的钢丝绕成一根弹簧,则弹模会改变,或者多根钢丝捻制成绞线,当成一个整体来检测弹性模量,其整体弹模与材料本身的弹模是不一样的。

扩展资料
1、混凝土弹性变形:在单向压缩(有侧向变形)条件下,压缩应力与应变之比。
2、材料的抗弹性变形的一个量,材料刚度的一个指标。钢材的弹性模量E=2.06e¹¹Pa=206GPa
弹性模量只与材料的化学成分有关,与温度有关。与其组织变化无关,与热处理状态无关。
3、弹性模量又称杨氏模量,弹性材料的一种最重要、最具特征的力学性质,是物体弹性变形难易程度的表征,用E表示。定义为理想材料有小形变时应力与相应的应变之比。E以σ单位面积上承受的力表示,单位为N/m^2。
参考资料来源:百度百科-弹性模量
参考资料来源:百度百科-混凝土弹性模量
